Постоянный электрический ток Сила тока, ЭДС, закон Ома презентация
Содержание
- 2. Электрический ток – упорядоченное (направленное) движение заряженных частиц.
- 3. За направление тока принимают направление движения положительно заряженных частиц
- 4. Действие тока: 1. тепловое, световое действие
- 5. 2. химическое действие
- 6. 3. магнитное действие
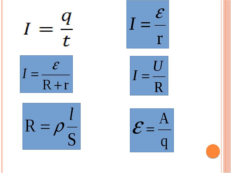
- 7. Сила тока- количество заряда протекающее через поперечное сечение проводника в единицу
- 8. Сила тока
- 9. Плотность тока
- 10. Условия, необходимые для существования электрического тока: 1. Наличие свободных заряженных частиц
- 11. Электродвижущая сила (ЭДС)
- 12. Электрическое сопротивление
- 14. Активное сопротивление Активное сопротивление - электрические устройства, преобразующие электрическую энергию во
- 15. Активное сопротивление От чего зависит активное сопротивление проводника?
- 16. Из-за чего возникает сопротивление?
- 17. Удельное сопротивление проводника - это физическая величина, показывающая, каково сопротивление проводника
- 22. Скачать презентацию




















Слайды и текст этой презентации
Скачать презентацию на тему Постоянный электрический ток Сила тока,
ЭДС, закон Ома можно ниже:
Похожие презентации