Степень с рациональным показателем (9 класс)
Содержание
- 2. «Люди, незнакомые с алгеброй, не могут представить себе тех удивительных вещей,
- 3. История возникновения степени числа В знаменитой книге «Арифметике» Диофант Александрийский
- 10. Арифметический корень натуральной степени Определение Корнем n-ой степени из числа a
- 13. Примеры
- 14. Устно: Вычислите:
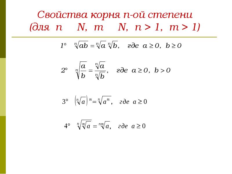
- 15. Свойства корня n-ой степени (для n ∈ N, m ∈ N,
- 16. Понятие степени с рациональным показателем
- 17. Представьте степень с дробным показателем в виде корня:
- 18. Представьте в виде степени с дробным показателем:
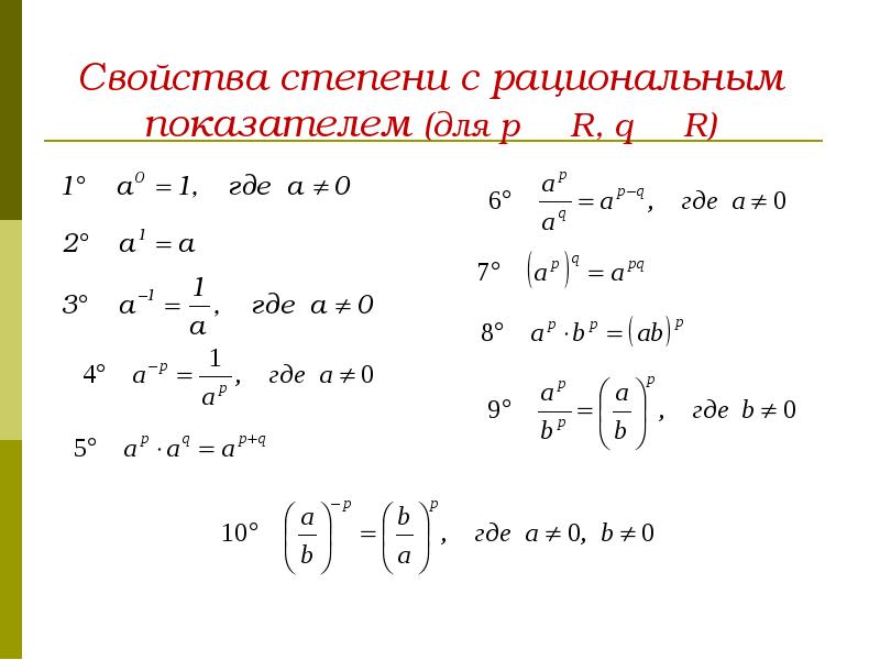
- 20. Свойства степени с рациональным показателем (для p ∈ R, q ∈
- 21. Решаем номера из учебника: Решаем номера из учебника: №№ 118, 119,
- 23. Домашняя работа Параграф 10 №№ 122, 125, 127
- 24. Скачать презентацию






















Слайды и текст этой презентации
Презентация на тему Степень с рациональным показателем (9 класс) доступна для скачивания ниже:
Похожие презентации